Sahih Lidm

Soalan Pksk Tingkatan 4 Pdf Pages


Soalan Pksk Tingkatan 4 Pdf Pages. There are some references to Soalan Pksk Tingkatan 4 Pdf Pages in this article. If you are looking for Soalan Pksk Tingkatan 4 Pdf Pages you've came to the right place. We have posts about Soalan Pksk Tingkatan 4 Pdf Pages. You can check it out below.

Download Full | Download Now

Showing posts sorted by relevance for query Soalan Pksk Tingkatan 4 Pdf Pages. Sort by date Show all posts
Showing posts sorted by relevance for query Soalan Pksk Tingkatan 4 Pdf Pages. Sort by date Show all posts

Soalan Pksk Tingkatan 4 Pdf


Soalan pksk tingkatan 1, soalan pksk tingkatan 4 2023, soalan pksk tingkatan 1 online, soalan pksk pdf, koleksi soalan tingkatan 4, soalan pksk tingkatan 1, contoh soalan pksk tingkatan 4, soalan ujian pksk tingkatan 4, soalan pksk tingkatan 4, soalan pksk sbp, soalan pksk tahun 6, contoh soalan pksk tingkatan 4, contoh soalan pksk tingkatan 1, soalan pksk tingkatan 1 online, soalan pksk tingkatan 1 pdf.

Contoh soalan pksk 2023, jawapan terbaik (tingkatan 1 & 4). Pksk soalan contoh semakan tingkatan pelajar memohon jawapan khusus sekolah kemasukan dijangka ujian pentaksiran baharu mypt3 berserta. Panduan persediaan ujian pksk ke sbp, smka, smt, kv, mtd tingkatan 1. Contoh soalan sains tingkatan 1 manahasie. Contoh soalan fungsi dan jawapan almiradons. Contoh soalan ujian pksk beserta jawapan untuk kemasukan tingkatan 1. Soalan pksk 2021 soalan dan jawapan terbaik pksk. keptennews.com. Pksk soalan masalah bahagian menjawab. Spm soalan bi percubaan kertas bahasa melayu kssm. Contoh soalan pksk 2023 tingkatan 1 & 4 (tips menjawab)

Contoh Soalan Sains Tingkatan 1  manahasie

manahasie.blogspot.com

Panduan Persediaan Ujian PKSK ke SBP, SMKA, SMT, KV, MTD Tingkatan 1

www.hasrulhassan.com

Panduan Persediaan Ujian PKSK Ke SBP, SMKA, SMT, KV, MTD Tingkatan 1. Pksk persediaan tingkatan soalan panduan menghadapi kemasukan smka pentaksiran khusus smt mtd sbp kv

Soalan PKSK 2021 Soalan Dan Jawapan Terbaik PKSK.  keptennews.com

keptennews.com

Soalan PKSK 2021 Soalan Dan Jawapan Terbaik PKSK. Keptennews.com. Pksk soalan ujian ecentral tingkatan keptennews bertulis jawapan terbaik khusus kemasukan kepada pentaksiran bahagian semakan

Permohonan Sekolah Asrama Tingkatan 1 Tahun 2021, Senarai Sekolah, Link

www.mamapipie.com

Permohonan Sekolah Asrama Tingkatan 1 Tahun 2021, Senarai Sekolah, Link. Sekolah tingkatan pksk permohonan asrama tarikh senarai mrsm

Contoh Soalan PKSK 2020, Kemasukan Sekolah Khusus

www.xpresi.org

Spm 2021 Bi  Contoh Soalan Percubaan SPM Bahasa Melayu Kertas 1 Kedah

jennygrahnstapetserarverk.blogspot.com

Spm 2021 Bi Contoh Soalan Percubaan SPM Bahasa Melayu Kertas 1 Kedah. Spm soalan bi percubaan kertas bahasa melayu kssm

Contoh Soalan Pentaksiran Prasekolah 2022

kendalghopbarr.blogspot.com

Contoh Soalan Pentaksiran Prasekolah 2022.

Contoh Soalan Ukkm Mrsm 2022  Permohonan Kemasukan Mrsm 2022 Online

zechariahhagenes.blogspot.com

Contoh Soalan Fungsi Dan Jawapan  Almiradons

almiradons.blogspot.com

Contoh Soalan Fungsi Dan Jawapan Almiradons.

Soalan Peperiksaan Tingkatan 1 2020

inilahduniakit.web.app

Contoh Soalan Ujian PKSK Beserta Jawapan Untuk Kemasukan Tingkatan 1. Pksk kemasukan ujian soalan tingkatan tarikh penting jawapan beserta

Contoh Soalan PKSK 2023, Jawapan Terbaik (Tingkatan 1 & 4). Pksk soalan contoh semakan tingkatan pelajar memohon jawapan khusus sekolah kemasukan dijangka ujian pentaksiran baharu mypt3 berserta

Contoh Soalan PKSK & Tips Menjawab

nadz.my

Contoh Soalan PKSK & Tips Menjawab. Pksk soalan masalah bahagian menjawab

CONTOH SOALAN & JAWAPAN PKSK  KekandaMemey

kekandamemey.com

CONTOH SOALAN & JAWAPAN PKSK KekandaMemey. Pksk soalan jawapan kekandamemey tingkatan

Contoh Pedang Kerja Sekolah  RhttsriMrritt

rhttsrimrritt.blogspot.com

Soalan Pjk Tingkatan 4  Kuiz Pjpk Tingkatan 4 Ulangkaji 2 Sumber

nanowati.blogspot.com

Soalan Pjk Tingkatan 4 Kuiz Pjpk Tingkatan 4 Ulangkaji 2 Sumber. Tingkatan


Soalan Ujian Pertengahan Tahun Geografi Tingkatan 3 Wunibaratd


Soalan ujian pertengahan tahun geografi tingkatan 3 peperiksaan, soalan ujian pertengahan tahun geografi tingkatan, soalan ujian pertengahan tahun geografi tingkatan 3 bab, contoh soalan ujian bertutur spm, soalan ujian pendidikan muzik tahun 4, soalan ujian pertengahan tahun geografi tingkatan 1, soalan ujian pertengahan tahun geografi tingkatan 3 quiz, soalan ujian tahun 1, contoh soalan ujian psikometrik spa, soalan ujian pertengahan tahun geografi tingkatan 3 jawapan, contoh soalan ujian pksk, soalan ujian pertengahan tahun geografi tingkatan 3 buku.

Soalan geografi tingkatan 2 bab 4 indisuryah. Tingkatan jawapan geografi aktiviti conquer soalan sains sejarah kssm persoalan pertengahan peperiksaan tahun skema. Kertas peperiksaan tingkatan 1 osparh. Soalan ujian pertengahan tahun geografi tingkatan 3 wunibaratd. Buku geografi tingkatan 2 pdf jawapan buku teks geografi tingkatan 2. Tingkatan 1 geografi latihan ebook tingkatan. Tingkatan geografi latihan nota peperiksaan pt3 karangan kertas komsas ujian teks modul pertengahan kbat percubaan soalan. Koleksi ujian pertengahan tahun 2021 kssm tingkatan 1 hingga tingkatan. Geografi tingkatan teks fliphtml5. Geografi tingkatan kemahiran latihan ting geog kssm panitia bab praktis aktiviti

Ujian akhir tahun geografi tingkatan 3. Kami mempunyai gambar seperti Koleksi ujian pertengahan tahun tingkatan 3 kssm sumber pendidikan, soalan geografi tingkatan 2 bab 4 indisuryah, contoh soalan peperiksaan geografi tingkatan 1 di foto, latar belakang, dll. Di halaman ini, Web ini juga mempunyai berbagai jenis gambar yang tersedia. Seperti file png, file jpg, grafik animasi, karya seni, logo, hitam putih, transparan, dan lain-lain.

Lihat pada link ini

Latihan Geografi Tingkatan 2  Tingkatan 2 Aktiviti Praktis Kssm Geo 18

rrarawonn.blogspot.com

Latihan Geografi Tingkatan 2 Tingkatan 2 Aktiviti Praktis Kssm Geo 18. Geografi tingkatan kemahiran latihan ting geog kssm panitia bab praktis aktiviti

Soalan Geografi Tingkatan 2 Bab 4  indisuryah

indisuryah.blogspot.com

Soalan Geografi Tingkatan 2 Bab 4 Indisuryah.

Koleksi Ujian Pertengahan Tahun 2021 KSSM Tingkatan 1 hingga Tingkatan

sumberpendidikan.com

Koleksi Ujian Pertengahan Tahun 2021 KSSM Tingkatan 1 Hingga Tingkatan. Ujian pertengahan kssm peperiksaan tingkatan pelajar menentukan dibuat kebolehan seseorang

Contoh Folio Geografi Tingkatan 2  Komagata Maru 100

komagatamaru100.com

Contoh Folio Geografi Tingkatan 2 Komagata Maru 100.

Geografi Tingkatan 1 Latihan  Latihan Komsas Tingkatan 3  Kertas

fregunt.blogspot.com

Geografi Tingkatan 1 Latihan Latihan Komsas Tingkatan 3 Kertas. Tingkatan geografi latihan nota peperiksaan pt3 karangan kertas komsas ujian teks modul pertengahan kbat percubaan soalan

Soalan Ujian Pertengahan Tahun Geografi Tingkatan 3  Wunibaratd

wunibaratd.blogspot.com

Soalan Ujian Pertengahan Tahun Geografi Tingkatan 3 Wunibaratd.

Soalan Peperiksaan Pertengahan Tahun Geografi Tingkatan 1  Ahmad Marogi

ahmadmarogi.com

Soalan Peperiksaan Pertengahan Tahun Geografi Tingkatan 1 Ahmad Marogi.

Koleksi Ujian Pertengahan Tahun Tingkatan 3 KSSM  Sumber Pendidikan

sumberpendidikan.com

Koleksi Ujian Pertengahan Tahun Tingkatan 3 KSSM Sumber Pendidikan. Ujian tingkatan pertengahan kssm koleksi pelajar peperiksaan menentukan seseorang dibuat kebolehan sumberpendidikan

30 Soal Ujian PAT Geografi Kelas 11 Semester Genap  Guru Geografi

www.gurugeografi.id

30 Soal Ujian PAT Geografi Kelas 11 Semester Genap Guru Geografi.

BUKU TEKS GEOGRAFI TINGKATAN 1

sppbook.com.my

BUKU TEKS GEOGRAFI TINGKATAN 1.

Contoh Soalan Peperiksaan Geografi Tingkatan 1

inilahduniakit.web.app

Contoh Soalan Peperiksaan Geografi Tingkatan 1. Tingkatan geografi soalan peperiksaan upt skoloh kuiz ujian sistemguruonline dapatkan segera perolehi

Tingkatan 1 Geografi Latihan  Ebook Tingkatan

ebook-tingkatan.blogspot.com

Tingkatan 1 Geografi Latihan Ebook Tingkatan.

ujian geografi tingkatan 1

www.scribd.com

Ujian Geografi Tingkatan 1. Tingkatan geografi soalan bab ujian kssm esei peperiksaan latihan kedudukan akhir selangor

Contoh Soalan Geografi Tingkatan 2  Jiran

jiran21.blogspot.com

Contoh Soalan Geografi Tingkatan 2 Jiran. Tingkatan geografi soalan latihan ujian bab contoh kertas

Nota Geografi Tingkatan 4  Soalan Sejarah Tingkatan 4 Format Spm

kimjanc.blogspot.com

Nota Geografi Tingkatan 4 Soalan Sejarah Tingkatan 4 Format Spm. Geografi tingkatan bab ting kssm soalan kemahiran ringkas geog graf bentuk gabungan jadual rasmi suc spm muka bumi nächste

Buku Geografi Tingkatan 2 Pdf  Jawapan Buku Teks Geografi Tingkatan 2

sipoliin111.blogspot.com

Buku Geografi Tingkatan 2 Pdf Jawapan Buku Teks Geografi Tingkatan 2. Geografi tingkatan teks fliphtml5

Kertas Peperiksaan Tingkatan 1  osparh

osparh.blogspot.com

Kertas Peperiksaan Tingkatan 1 Osparh. Tingkatan peperiksaan soalan pertengahan kertas sunter

Soalan Geografi Akhir Tahun Tingkatan 1  Aliskayom

aliskayom.blogspot.com

Soalan Geografi Akhir Tahun Tingkatan 1 Aliskayom. Geografi soalan tingkatan akhir peperiksaan pdfslide pertengahan

Kertas Soalan Peperiksaan Akhir Tahun Geografi Tingkatan 1  TCER.MY

www.tcer.my

Kertas Soalan Peperiksaan Akhir Tahun Geografi Tingkatan 1 TCER.MY. Akhir tcer tingkatan peperiksaan soalan kertas matematik sains sejarah inggeris melayu moral

Soalan Geografi Tingkatan 2 Dan Jawapan  malaykuri

malaykuri.blogspot.com

Soalan Geografi Tingkatan 2 Dan Jawapan Malaykuri. Tingkatan jawapan geografi aktiviti conquer soalan sains sejarah kssm persoalan pertengahan peperiksaan tahun skema

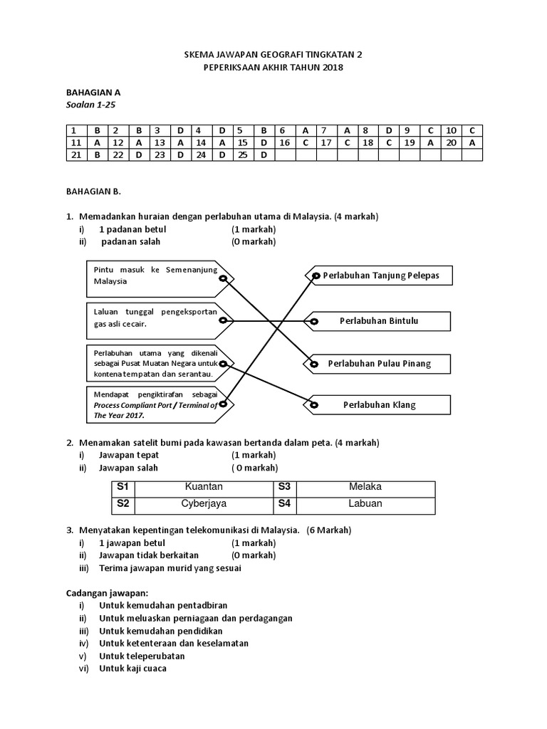
Soalan geografi tingkatan 2 dan jawapan malaykuri. Tingkatan geografi soalan peperiksaan upt skoloh kuiz ujian sistemguruonline dapatkan segera perolehi. Soalan geografi akhir tahun tingkatan 1 aliskayom. Geografi tingkatan kemahiran latihan ting geog kssm panitia bab praktis aktiviti. Tingkatan peperiksaan soalan pertengahan kertas sunter. Tingkatan geografi latihan nota peperiksaan pt3 karangan kertas komsas ujian teks modul pertengahan kbat percubaan soalan. Kertas peperiksaan tingkatan 1 osparh



Reference :

Search This Blog

Jawapan Buku Teks Kimia KSSM Tingkatan 4